Do czego można by zastosować kamery logarytmiczne?
5 December 2011
Comments
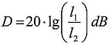
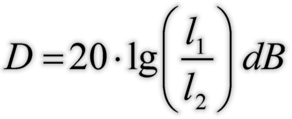
New Imaging Technologies oferuje matryce CMOS o ogromnym zakresie dynamicznym przekraczającym 120 dB. Jest to osiągalne dzięki logarytmicznej odpowiedzi na sygnał. W normalnych matrycach odpowiedź jest liniowa - 10 razy silniejszy sygnał powinien dać 10 razy większą odpowiedź na matrycy. Nie jest to pożądane gdy interesują nas "ciemne" detale obok bardzo jasnych - powoduje to saturację matrycy (i np. blooming, prześwietlenie kadru). W odpowiedzi logarytmicznej bardzo silny sygnał (l1) zostanie mocno stłumiony przez logarytm w stosunku do słabego l2:

- Fotografowanie światła popielatego Księżyca i oświetlonej przez Słońcę części tarczy Księżyca bez prześwietlania tej drugiej
- Fotografowanie nocnej strony Wenus
- Fotografowanie Saturna w paśmie metanu (pierścień wszystko zaświetla)
- Próba złapania pierścieni Urana z użyciem szerokopasmowego filtra podczerwonego (normalnie planeta zaświetla pierścienie)
- Astrofotografia Słońca?
RkBlog
Comment article